- Beranda
- Komunitas
- News
- Berita dan Politik
Ini Transkrip Pembicaraan Novanto dan Pengusaha R yang Diduga Catut Presiden
TS
kitten89
Ini Transkrip Pembicaraan Novanto dan Pengusaha R yang Diduga Catut Presiden
Jakarta - Menteri ESDM Sudirman Said melaporkan Ketua DPR Setya Novanto ke MKD DPR atas dugaan pencatutan nama Presiden Jokowi dan Wapres JK untuk meminta saham ke PT Freeport Indonesia. Laporan Sudirman ke MKD disertai transkrip rekaman percakapan Novanto dan pimpinan PT Freeport.
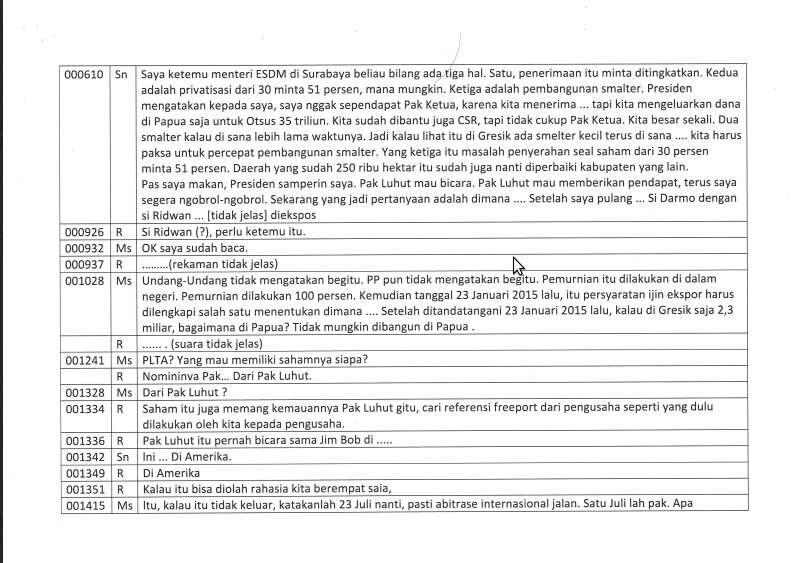
Transkrip tersebut beredar di kalangan wartawan. Jumlahnya tiga lembar, berisi percakapan tiga orang, yaitu Novanto yang dituliskan dengan inisial Sn, pimpinan PT Freeport berinisial Mn dan seorang pengusaha minyak berinisial R.
"Transkrip itu satu, dua, tiga halaman," kata Wakil Ketua MKD DPR Junimart Girsang yang ditanya soal beredarnya transkrip, Senin (16/11/2015).
Sudirman Said mengungkap transkrip tersebut berasal dari rekaman percakapan dalam pertemuan pimpinan PT Freeport dengan Setya Novanto dan pengusaha minyak berinisial R. Pertemuan itu dihelat di sebuah hotel di kawasan Pacific Place 8 Juni 2015 lalu pada pukul 14.00 WIB hingga 16.00 WIB. Pertemuan itu adalah pertemuan ketiga.
Soal nama Novanto yang diduga jadi pencatut nama Presiden, terungkap dalam wawancara presenter Metro TV Najwa Shihab dengan Sudirman Said petang ini. Dalam wawancara tersebut, Najwa menunjukkan foto surat laporan Sudirman ke MKD dan menunjukkan nama Setya Novanto sebagai pihak terlapor. Sudirman membenarkan surat tersebut adalah laporan yang dibuatnya.
"Di situ ada kop surat kementerian, ada paraf saya. Saya kira ya ini laporan yang saya bikin," ujar Sudirman membenarkan dirinya melaporkan Setya Novanto sebagai terduga pencatut nama Presiden.
"Di sini disebutkan laporan tidak terpuji saudara Setya Novanto," kata Najwa.
"Saya sebagai Menteri ESDM, hal-hal sebagai berikut melaporkan, ya itu isi laporan saya kepada MKD," ujar Sudirman.
Setya Novanto membantah disebut mencatut nama Presiden Jokowi. Novanto yang hari ini berkali-kali ditanya wartawan soal isu pencatutan nama Presiden dan Wapres bertahan dengan jawabannya, dirinya tak pernah melakukan pencatutan.
"Yang jelas saya selaku pimpinan DPR tidak pernah untuk bawa-bawa nama presiden atau mencatut nama presiden," kata Novanto.
Berikut transkrip pembicaraan Novanto dan pengusaha berinisial R dengan pimpinan PT Freeport tersebut:



http://news.detik.com/berita/3072706...catut-presiden
Nah lo itu ridwan di bawa2 jgn2 Ridwan kamil kah ??
Luhut juga di sebut2
Transkrip tersebut beredar di kalangan wartawan. Jumlahnya tiga lembar, berisi percakapan tiga orang, yaitu Novanto yang dituliskan dengan inisial Sn, pimpinan PT Freeport berinisial Mn dan seorang pengusaha minyak berinisial R.
"Transkrip itu satu, dua, tiga halaman," kata Wakil Ketua MKD DPR Junimart Girsang yang ditanya soal beredarnya transkrip, Senin (16/11/2015).
Sudirman Said mengungkap transkrip tersebut berasal dari rekaman percakapan dalam pertemuan pimpinan PT Freeport dengan Setya Novanto dan pengusaha minyak berinisial R. Pertemuan itu dihelat di sebuah hotel di kawasan Pacific Place 8 Juni 2015 lalu pada pukul 14.00 WIB hingga 16.00 WIB. Pertemuan itu adalah pertemuan ketiga.
Soal nama Novanto yang diduga jadi pencatut nama Presiden, terungkap dalam wawancara presenter Metro TV Najwa Shihab dengan Sudirman Said petang ini. Dalam wawancara tersebut, Najwa menunjukkan foto surat laporan Sudirman ke MKD dan menunjukkan nama Setya Novanto sebagai pihak terlapor. Sudirman membenarkan surat tersebut adalah laporan yang dibuatnya.
"Di situ ada kop surat kementerian, ada paraf saya. Saya kira ya ini laporan yang saya bikin," ujar Sudirman membenarkan dirinya melaporkan Setya Novanto sebagai terduga pencatut nama Presiden.
"Di sini disebutkan laporan tidak terpuji saudara Setya Novanto," kata Najwa.
"Saya sebagai Menteri ESDM, hal-hal sebagai berikut melaporkan, ya itu isi laporan saya kepada MKD," ujar Sudirman.
Setya Novanto membantah disebut mencatut nama Presiden Jokowi. Novanto yang hari ini berkali-kali ditanya wartawan soal isu pencatutan nama Presiden dan Wapres bertahan dengan jawabannya, dirinya tak pernah melakukan pencatutan.
"Yang jelas saya selaku pimpinan DPR tidak pernah untuk bawa-bawa nama presiden atau mencatut nama presiden," kata Novanto.
Berikut transkrip pembicaraan Novanto dan pengusaha berinisial R dengan pimpinan PT Freeport tersebut:



http://news.detik.com/berita/3072706...catut-presiden
Nah lo itu ridwan di bawa2 jgn2 Ridwan kamil kah ??

Luhut juga di sebut2

0
3.2K
24
Komentar yang asik ya
Urutan
Terbaru
Terlama
Komentar yang asik ya
Komunitas Pilihan