Kalo agan pake android, save offline pake aplikasi Youtube resminya juga bisa kok.. Atau kalo pake ssyoutube dan videograbby juga masih bisa di mobile Sama-sama gan :shakehand2 Bantu rate 5 dong gan hehehe Sebagian besar triknya emang buat pc gan
jejak :travel Nyimak ... Monggo gan.. :toast nambah ilmu lagi.. nis trit :shakehand2 Tengkyu gan :recsel
Dah pernah baca Baca dimana gan? Nice trit gaan :wow Thanks :shakehand2 Sama-sama gan :recsel Bantu rate 5 yo gan hehehe
ternyata banyak cara yg ane tidak tau ntar ane cobain gan Banyak yg ane belum tau gan, ntapss :lehuga Semoga bermanfaat gan :2thumbup Share Gif: http://media.riffsy.com/images/4971ce1567d74379cc50dd5b42ab87ed/raw Oh no :matabelo
4!4!/8! = 1/70 Kok gak di kali dua? Karena kan ada dua kasus, kasus pertama yaitu yg cowok duduk duluan di kursi pertama, yg kedua itu yg cwek yg duduk duluan di kursi pertama
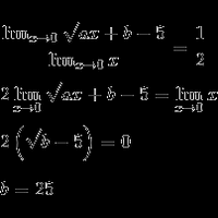
Wah makasih banget gan :cendols Ane mau nanya lagi dong gan Ane bener" mentok kalo yg ini Abis ane turunin dua kali, trus masukkin x nya 1 malah dapet 2(a+b) = -7 Bantu ya gann
http://s.kaskus.id/images/2016/05/18/5821754_20160518122007.jpg Ini gimana gan.. Pake L hospital dapetnya, b = a^2 Abis itu bingung diapain