ulangannya blm mulai Udah mulai gan... :-) :malus salah masuk ruangan Solved... Aduh Kurang Greget ya riddle ane.. OK next dah.. :capedes :capedes dia salah masuk ruangan, itu ruangan tempat ujian kelas lain. Udah keduluan atas ente gan.. Maaf :sorry
#Ulangan Bangun jam 5:00. Akhirnya hari senin pun tiba, aku pun menyiapkan alat tulis yang akan di bawa ujian nanti. Ya, hari ini adalah hari pertama ujian. Lalu pergi mandi dilanjutkan dengan sarapan. Setelah semua sudah di lakukan aku pun pergi ke kampus tepat pukul 6:45. Akhirnya aku sampai di...
http://latex.codecogs.com/gif.latex?\\u=x-1\rightarrow&space;du=dx&space;\\&space;\\dv=(2x-1)^{-\frac{1}{2}}dx\rightarrow&space;v=(2x-1)^{\frac{1}{2}}&space;\\&space;\\\int&space;\frac{x-1}{\sqrt{2x-1}}dx=(x-1)(2x-1)^{\frac{1...
Gan.. Tanya soal differensial dong... http://s.kaskus.id/images/2015/01/05/5771828_20150105054323.png
Thanks gan.. Ada materi nya di buku.. Tapi di buku ndak di jelasin kenapa harus ada ini.. Kan kalau itu tidak ada nanti penyebutnya juga bisa jadi K^2(2K-1) ???
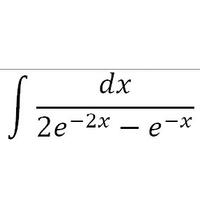
http://s.kaskus.id/images/2015/01/04/5771828_20150104021328.JPG http://latex.codecogs.com/gif.latex?%5Cdpi%7B100%7D%20%5C%5Cu%20%3D%20%5Cint%20%5Cfrac%7Bdx%7D%7B%282 e%5E%7B-2x%7D%20-%20e%5E%7B-x%7D%29%7D%5C%5C%5C%5C%20%5Ctext%7Bmisalkan%20%7D%20k%20%3D%20e%5E%7B-x%7D%5C%5C%5C%5C%20dk%20%3D%20-e...
Gan.. Tanya soal ini dong.. Barangkali bisa dikerjakan.. Kalau bisa sama penjelasannya gan.. (1.) 6,10,8,8,10,6..... a. 4,16 b. 6,14 c. 4,12 d. 12,4 e. 16,4 (2.) 1,2,3,4,4,6,7,10,11.... a. 15 b. 16 c. 10 d. 6 e. 4 (3.) 2,3,7,11,13.... a. 14 b. 15 c. 16 d. 17 e. 19 (4.) 6,5,10,13,9... a. 5 b. 8 c....
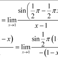
http://s.kaskus.id/images/2014/10/21/1602081_20141021104311.png Makasih gan.. Mantap gan gak kepikiran yang penyebutnya.. Brain Storming banget... :ngakak:ngakak:ngakak
Panjo membunuh ceweknya panji dari sungai itu mungkin karena konflik.. Terus panji kepikiran peristiwa masa lalu itu..