kwi download ning server mas wkwkkw tinggal transfer mumpung iso yok an win server nggo tuneling dadike server esteh :ngakak lha dari pada nganggur :ngakak lha nek ngunu kan orak menyesatkan, iku dudu speed ssh + opsel :o nek speed server semunu yo lumrah ae :o us1 http://www.speedtest.net/r
Peraturan kaskus baru sob,kena benet berkurang 1 bar serem banget :takut pagi :malus pagi zar 7 orang yg ikut :hammers cewenya 1 galak pula :hammers yg galak ulil :ngakaks Sok tau dah :cd: opaaaa :ngakaks
gapapa deh, kali aja jodoh sama de gea :malu: wkwk bersamamu aku merasa mual :ngakaks:Peace: berjodoh ama gea yang mana nih :malu: wkwkwk itu mual gara gara kebanyakan makan :ngakaks
akhir taun segera deh buat acara gath nya :eek Jkt tablo yng urus Smg anjas yng urus Bali gw yng urus :eek gw kagak diajakin nih :eek:
sekali-sekali mas har :D :hammer: ojosek ndak tuman :hammer: dea bukan gea mas :hammer: iya ku nikmati saat2 bersamamu :malu::ngakaks kebanyakan didongengin ya mas har? wkwk typo jadi gea :malu: bersamamu aku merasa begitu damai :malu: :ngakaks dongeng sebelum tidur wkwkwk Gath yuk :malu: hayuk
mas, server so nda lanjut kah? :matabelo: klu nda ada bugs yg bocor nti malah nda ada kerjaan :shutup: :D kampret mania :catat :linux2: :think: mksdnya mo beking bgmn? install di server kah ato kase jalan di client ato apa? btw, klu boleh tau server manakah? sapa tau qt bole
opo toh njas? :p orapopo gea :malu: engga juga sih, nanya kakakku aja yg lebih jago :ngakaks wih serunya mas :matabelo: caelah kek kereta aja :hammers >.< haha kamus berjalan haha dinikmati saja kereta kuda yg membawa putri raja wkwkwk
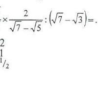
enggak ah mas jek biasa kui :( :cd :nohope v v v :shakehand2 anjas juga ini #matanelo post perdana dimari :Paws: ada yang bisa jawab ga :eek http://s.kaskus.id/images/2013/10/22/2672314_20131022015432.jpg enol "0"
Bner kata bawal,menghasilkan kebodohan :norose: jadilah penonton yang cerdas :bingungs :ngakak ga perlu bingung wkwkwk
Jngan lama2 :ngakaks Iyaseh :hammer: Antusiast penonton ini yng bikin ribet :hammer: karna selera / kesukaan akan acara acara seperti itulah maka bermunculan program tivi sejenis bagi mereka yg penting menghasilkan acara ga guna... :berdukas tapi menghasilkan :berdukas
Omhaarrr :kagets: Maen2lah ke grup warkopsu,kasi kami pencerahan lg,tertua kedua stelah kakek2 botak :ngacir: Btw,rating sih bagus,yng dipertanyakan..knapa acara macem gtu rating nya bsa bagus :hammer: lagi bertapa di gunung dulu :ngakaks ratingnya bagus karna antusiast penonton jadi tanyakan pa
halooooooooooooo \:D/ lagi dimanakah?? gmn kabarnya? :D biasa menyusuri pelosok indonesia :malu: kabar baik, long taim no see :D