buah catur = pion suka mengganggu = jahil :hammer: mungkin alasan = argumen karangan bunga khas hawai = Lei
masih ga ngerti :( knp ane malah jd begini? :hammer: ngaco berat pst.. kasih jg gan cara itunya.. :o + yg oksidasinya gan :o yg soal ini ane ga ngerti sm sekali :o tp klo soal yg kyk : itu ane ngerti :hammer::hammer: maaf ngerepotin gan :(
Note penting : Cr sebelah kanan digunakan mengikat 3 sulfat dan 3 sulfat butuh 2 Cr jadi koefisien Cr2SO4 nya 1. Sisa main itungan di H+. H+ totalnya ada 14, digunakan sama oksalat (C2O4) 6, jadi sisa 8. Jumlah 8 ini digunakan untuk mengikat sulfat (SO4) 2 jadi koefisien H2SO4 adalah 4. Selesai ...
nanya kimia :o Setarakan reaksi redoks berikut : http://latex.codecogs.com/gif.latex?K_{2}Cr_{2}O_{7}&space;+&space;H_{2}SO_{4}&space;+&space;H_{2}C_{2}O_{4}\rightarrow&space;Cr_{2 }(SO_{4})_{3}+CO_{2}+&space;K_{2}SO_{4}+&space
misi gan, numpang nanya :) td ada dr pihak UI datang ke sekolah ane.. nah dia jelasin katanya cara msknya itu ada 3 cara, SMNPTN, SBMPTN, SIMAK UI.. ane msh kurang ngerti yg gt2, mksdnya apa ya? soalnya katanya klo mw ikut SMNPTN tinggal kasih tw kepsek sekolah aj katanya tq sbelumnya :)
http://latex.codecogs.com/gif.latex?\int&space;xcos^{2}xdx=\frac{1}{4}x^{2}+\frac{1}{4}xsin2x+\frac{1}{8}co s2x+C http://latex.codecogs.com/gif.latex?\int_{0}^{\pi}x^{2}cosxdx=-2\pi yoe bener kok 7/9 hahaha.. sorry mabok tq ya gan bantuannya kemarin , d...
pusing lg :( http://latex.codecogs.com/gif.latex?\int&space;sin^{3}x&space;cos^{3}x ngo2 klo http://latex.codecogs.com/gif.latex?(sin2x&space;=&space;2sinxcosx)^{2} itu hasilnya apa ya? :hammer: terus http://latex.codecogs.com/gif.latex?sin^{2}2x&space;=&space;sin4x -&
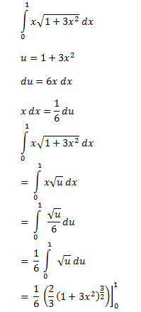
http://i.imgur.com/3tXCaSu.png selanjutnya tinggal F(1) - F(0) dan dapet hasil akhir 8/9 oya satu lagi.. http://i.imgur.com/AQewYxi.png sorry lupa tambahin "+ C"nya yang pertama ane ktemunya 7/9 tuh ? :hammer:
iya gan:'( JPP KKM + 5 itu yg minim yg dpt kategori 3 gan:( oo.. klo gt nanya di sni aja gan https://twitter.com/UntarJakarta
tergantung dari mahasiswa nya gan bukan krn tempat kuliah nya.. keduanya sama2 berpengaruh :o Gak tau bagus apa enggak gan... Yang pasti mahalll...temen2 ane yg di untar kagak lulus2 tuhh :ngakak gak lulus gara2 ga serius belajar / apa? :hammer: