because actually i like it. why you ask me that question? Because you didn't know the answer Why you try login in kaskus?
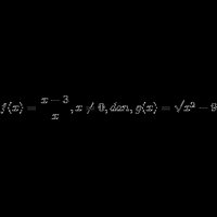
Gan, ane mau tanya nih tentang Matematika SMA kls XI 1. Diketahui fungsi http://s.kaskus.id/images/2014/09/28/4986927_20140928064751.gif Tentukan rumus fungsi berikut bila terdefinisi dan tentukan daerah asal dan daerah hasilnya. A. (f-g)(x) B. (f x g)(x)