no. 9 http://s.kaskus.id/images/2015/09/20/3332458_20150920105057.png Jadi http://s.kaskus.id/images/2015/09/20/3332458_20150920105409.png no. 10 http://s.kaskus.id/images/2015/09/20/3332458_20150920110231.png bentuknya berulang ... yang nomer 10 ane bingung caranya itu pake aturan keterbagian at
Gan mohon bantuannya dong , no 9 dan 10 gimana caranya :bingung thankyou :shakehand2 http://s.kaskus.id/images/2015/09/20/5842072_201509200612210577.png
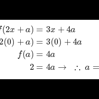
mohon bantuan gan nomor 1 dan 2 , thankyou :shakehand2 http://s.kaskus.id/images/2015/08/30/5842072_201508301117050484.png
permisi gan mau nanya yang nomer 5 dong step by step ya gan hehe soalnya ga ngerti di nomor 5 doang nih ._. thank you :shakehand2
permisi gan , ane mau nanya kan ane cek persyaratan kalo sim c itu minimal 16 tahun udah bisa bikin nah kalo belom punya KTP trus gimana dong ? sedangkan di persyaratan harus ada KTP asli dan fotocopynya :bingung
Salam Kenal ya semuanyaa :D perkenalkan saya Andi Kusuma , salah satu siswa kelas 11 di salah satu SMA di jakarta yang sangat tertarik pada jurusan teknik fisika ini hehehe untuk mata kuliah peminatannya saya lebih tertarik ke bidang energi terbarukan dab fotonika , nah kalau boleh saya ingin ber...
mohon bantuan gan nomer 4 , 14 , 21 , 23 , 24 ( cara buktiin pernyataan 3 & 4nya aja :D ) :shakehand2 http://s.kaskus.id/images/2015/07/22/5842072_201507221245280721.png http://s.kaskus.id/images/2015/07/22/5842072_201507221246490571.png http://s.kaskus.id/images/2015/07/22/5842072_20150722
Help gan nomer 34 dan 36 thank you :shakehand2 http://s.kaskus.id/images/2015/06/08/5842072_201506081216150435.png
(46). AS = 2/3 * AF AS = 2/3 * √((a/2 * √2)² + a²) AS = ⅓ a √6 periksa dengan cara lain : misalkan titik K adalah perpotongan garis EG dan HF, lihat segitiga sama kaki ACK. AC = a√2 AK = CK = a√(3/2) mencari sudut ACK, gunakan aturan kosinus AC² = 2AK²(1 - cos ∠ACK)
help gan nomer 42 , 45 , 46 thank you :shakehand2 http://s.kaskus.id/images/2015/05/22/5842072_201505220741060003.png
help gan 1 soal ini aja bingung ngotak ngatik bentuknya gimana pilihan jawabannya a. -1/3 b. -2/3 c. -3/4 d. -4/3 e. -3
Bantuannya gan soal Matematika SMP/MTs cara mencari x nya jawabannya ane udh tau C. 56 m http://s.kaskus.id/images/2015/05/02/7618404_20150502100027.png :malus mksh Kaskus masukin aja rumus luas trapesium L = jumlah sisi sejajar x tinggi / 2 L = . 2x / 2 180 = ( 4x + 6 ) . x 180 = 4x^2 + 6x 4x
Saya setuju .. Mungkin yang lain ada pendapat? tapi sekarang di nomer 2 saya dapet hasil nya cot ( 120° + 90° + 60° ) = cot 270° nah di syaratnya cotangen itu batas sudutnya dari 0 sampai 180 , jadinya tidak memenuhi syarat ?
CMIIW oh mungkin maksudnya gini yah gan kan invers dari sin memiliki batas sudut dari -90 sampai 90 nah karena itu nomer 1 nya sudut theta yang memenuhi syarat adalah 315° karena sin 315 = sin (-45) akibatnya nanti jadi cos (-45) atau cos 315 yang menghasilkan nilai positif jadi mgkin intinya...
gan tolong bantu dong no 1 - 4 caranya gimana , itu yang nomer satu ane juga gatau jwbannya bener apa enggak soalnya sudutnya kan ada 2 kemungkinan gitu jadi apa memang nanti HP nya ada 2 jawaban ? mohon bantuannya , makasih :shakehand2
ini bisa dicari ga ya nilai x nya :bingung http://s.kaskus.id/images/2015/04/15/5842072_201504150742550670.png