haha ok ok masuk ke list dah yohohohoho :ngakak tapi banyak banget yah anime ynag genre nya gitu :takuts::kagets:
nanya recommended anime yang horror + thriller :army: ama sekarang anime ynag lagi hot-hotnya apa yah :D
Sepi lagi dah inih :nosara :sorry Mau ramu? :o BAKAR!!! cie cie \:bettys/ ada yg celebek nih :o ramein donk :cendolbig :kagets:
apaan neh :hammer: dateng2 langsung maen cium2 segala :bettys mending langsum cium apa langsung tus.. :bettys
ane bingung dengan kenaikan bbm premium gan. soalnya kenaikan sama kualitas gak sebanding gan. perbandingan sama tetangga Malaysht aja kita masih mahal harga bbmnya gan. Indo : Premium (oktan 88) -----> Rp 6.500 :najis Malon : oktan 95 ------> RM 1.9 (cuma 6rebu rupiah gan) tapi kalo
overfanatic ama JKT 48 = lupa akan diri sendiri, gak sayang diri sendiri dkk :think: tapi saya yakin masih banyak yang gak suka ama trit ini :cd pikir om pikir!!!
wow maen porak :matabelo: lo bagian apanya ? bagian pom pom boys yah ? :ngakak ingat pepatah "ada uang ada nilai" :ngakaks jadi gak usah remed ngumpulin kertas ujian, tinggal ngumpulin kertas duit aja :shutup: :ngakak yah kalo kertas duitnya seribu sama aja boong :mewek
Permisi gan mau tanya nih :D semoga cepet di tanggepin nih :D 1. Senyawa HK jenuh itu apa yah ? ama tak Jenuh itu apa ? 2. Nah kalo ada proses eliminasi pada alkohol bakalan jadi apa yah :think: 3. Reaksi Adisini pada halogen pada alkena itu menghasilkan apa yah :think: thanks before yah :D
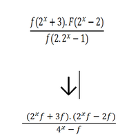
http://s.kaskus.id/images/2013/06/12/3698179_20130612070029.png balik lagi ke nomer 3 lanjutanya begitu bukan? f itu fungsi yah kalo f(x)=2^x berarti f(x+3)=2^x+3
kaga gw mah :hammer: paling pas kelas 1 sma belajar ipa. itu pun hanya biologi aja :think: skarang SMA penjurusan dari kelas brp ? klo angkatan gw mah mulai penjurusan dari kelas 2 (11) :ilovekaskuss Angkatan ane masih dari kelas 2 :iloveindonesias (sekarang juga masih kelas 2 :hammer: bentar lag