ID nya pernah kenal di Thread "Kaskuser Universitas negeri jakarta (UNJ)" :bingung Eh sorry gan ternyata yg di thread UNJ itu ID nya camil.cemilan bukan MulanCAMILAN :ngakak
ade gue jawabnya segini :berdukas :berdukas Tampang senior/Temen ane di UNJ seperti saudara-saudara :bingung: Ane anak PTIK 2012 gan :hammer
berdoa aja besok dimudahkan gan, sekarang mah istirahat aja buat besok mudah-mudahan yg dipelajari sebelumnya keluar semua :)
Imba banget tuh orang :matabelos Lagi nerjain ada orang teriak-teriak di speaker masjid "Inallilahi wanialaihirojiun , telah pulang ke rahmatullah saudara ...bin . ." :hammer kebetulan lokasinya deket pemukiman warga :hammer SMAKBO Bogor
soal pada boleh dibawa pulang gak? kok ane malah dibawa yak :hammer: yang mtk ngisi 1 aja ada gak? lagi nyari temen nih :hammer: Sebelah kiri ane pas menit 40 sekitar 20 menitan lagi menjelang selesai, TKD nya udah dijawab semua :matabelos dan doi nunggu berakhir dengan tidur-tiduran Itu orang d
Tadi dibelakang ane ada yg salah tempat duduk, sampe-sampe pengawas nya panik dan manggil ketua panitia. Akhirnya tu bocah harus ngulang ngerjain dari awal akibat salah duduk+salah so'al. padahal sisa waktu nya tingga 25 menitan lagi. Waspadalah gan! jangan sampai ini terjadi sama agan!
Perasaan b.ing biasa aja deh Kok ane malah susah di MTK ye :hammer: cuman keisi 8 dan gak yakin bener semua :hammer: Dah lupakan . . . . Move on :ngacir: Ane kemakan waktu di B.Indo sama Matdas gan, pas B.Ing tinggal 10 menitan, terus udah ke isi 3 tapi ane ragu itu betul soalnya selalu ada option
betul gan E.172, itu mah kan tinggal baca grafik aja? :bingung Ane terjebak di Matdas yg ini: 9^m+9^(m+1) = 20 maka 27^m = ... Nyari penyetaraanya susah banget :hammer Liat punya sebelah soalnya: 4^(m) + 4^(m-1) = 15 (Itu sih tinggal 4^2 - 4^0 aja :hammer sedangkan soal ane :mewek)
172? :bingung: Ane terjebak di Matdas yg ini: 9^m+9^(m+1) = 20 maka 27^m = ... Nyari penyetaraanya susah banget :hammer Liat punya sebelah soalnya: 4^(m) + 4^(m-1) = 15 (Itu sih tinggal 4^2 - 4^0 aja :hammer sedangkan soal ane :mewek)
Soalnya yang susah apa ane nya yg begok ni? :bingung TPA : 51 Matdas : 5 B.Indo : 11 B.Ing : 0 (Kira-kira ada nilai mati ga ya? tadi B.Ing udah dapet 3 tapi meragukan takut salah, kata om Jero kan kalo ragu ga usah isi daripada - ) Pilihan 1 : T.Perkapalan UI Pilihan 2 : Teknologi Bioproses UI Pil
mtkdalam hal ada yang tau masalah bilangan ini soalnya a,b,5,d,e berapa jumlah a*b*c*d*e itu soal suku tengah geometri gan: U.tengah = √U.awal-U.akhir 5 = √a-e 25 = a-e 25+e = a Terus substitusiin a nya ke deret itu dan tinggal cari r nya dengan cara U2/U1 = U3/U2. Setelah ketemu r nya tingg
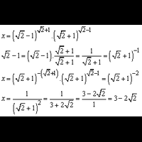
Gan, suer gan... Bantuin ane gan :( Ane masih bingung banget kalo turunan yang ada pecahan, sin cos, sama akar :hammer Kalo angka sama X ane udah jago banget.. 1. Jika f(x) = sin 1/akar x , maka f ' (x)? 2. Jika f(x) = 6x/akar 2x - x , maka f ' (x)? 3. Turunan pertama dari fungsi y = akar^3 (x^2
maaf mau nanya sama kak rose dan penghuni kaskus lainya: http://kkcdn-static.kaskus.co.id/images/2013/05/12/4777774_20130512012226.png Diketahui L.Lingkaran besar = L.Di Arsir, tentukan perbandingan jari-jari L.Besar dan jari-jari L.Kecil Disini saya coba pake permisalan seperti berikut: K=L.kecil
Garis melalui titik potong garis x+2y+1=0 dan garis x-y+4=0 serta tegak lurus pada garis x-2y+1=0. Tentukan titik potong antara garis itu dengan sumbu x! terus ane mau nanya kalau, tegak lurus dan sejajar selain gradien nya yang beda, apanyalagi yang beda gan/sist?
segitiganya mana? maksud ane lingkaran sist bukan segitiga, entah mengapa keyboard ini jadi sering bohong sama tangan ane :ngakak
http://kkcdn-static.kaskus.co.id/images/2013/05/12/4777774_20130512012226.png Terdapat tiga buah lingakaran seperti diatas, satu buah lingkaran besar, dan dua buah lingkaran kecil dengan luas sama. Apabila luas segitiga besar sama dengan luas daerah yang diarsir, maka perbandingan jari-jari lingk...
http://kkcdn-static.kaskus.co.id/images/2013/05/12/1602081_20130512124220.gif yang nomor 2 gak jelas soalnya apa yang mau ditanyakan? ooh begitu ternyata . . . itu sudah saya ganti sist, gambar nya :D