Kaskus

News

https://s.kaskus.id/images/2023/01/04/11341647_20230104092848.jpg
https://s.kaskus.id/images/2023/01/04/11341647_20230104092856.jpg
1/2
argazulsilva657Avatar border
TS
argazulsilva657
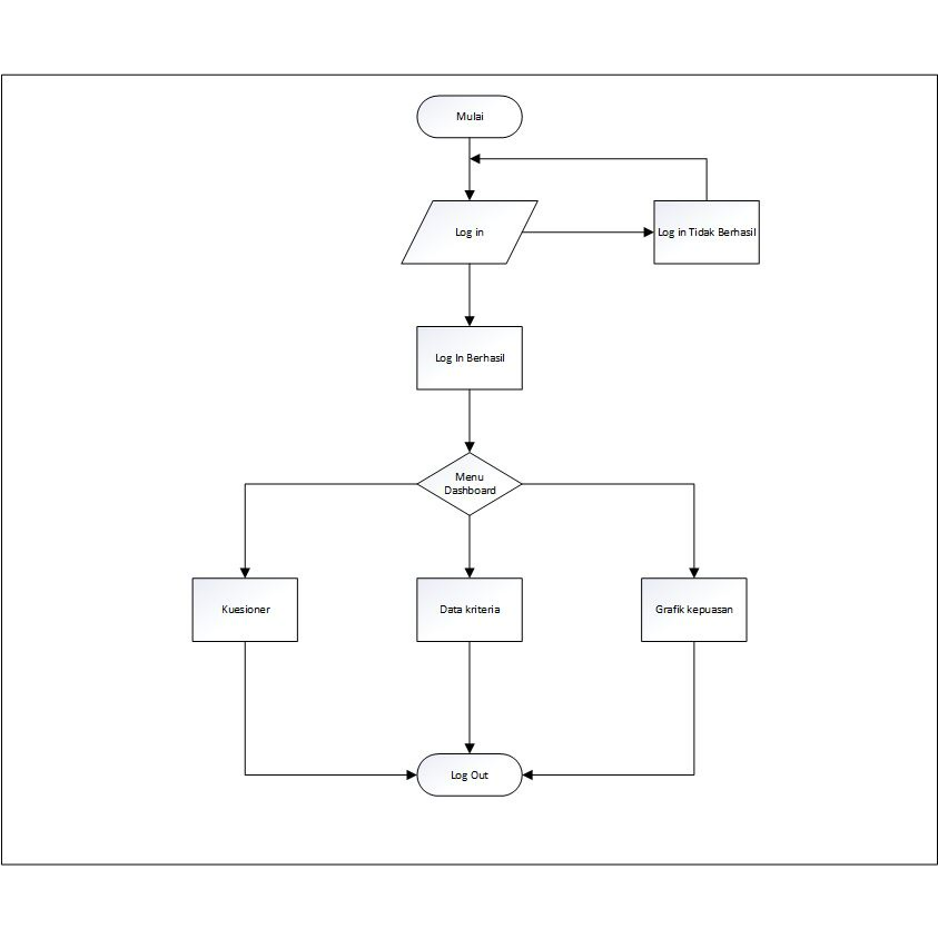
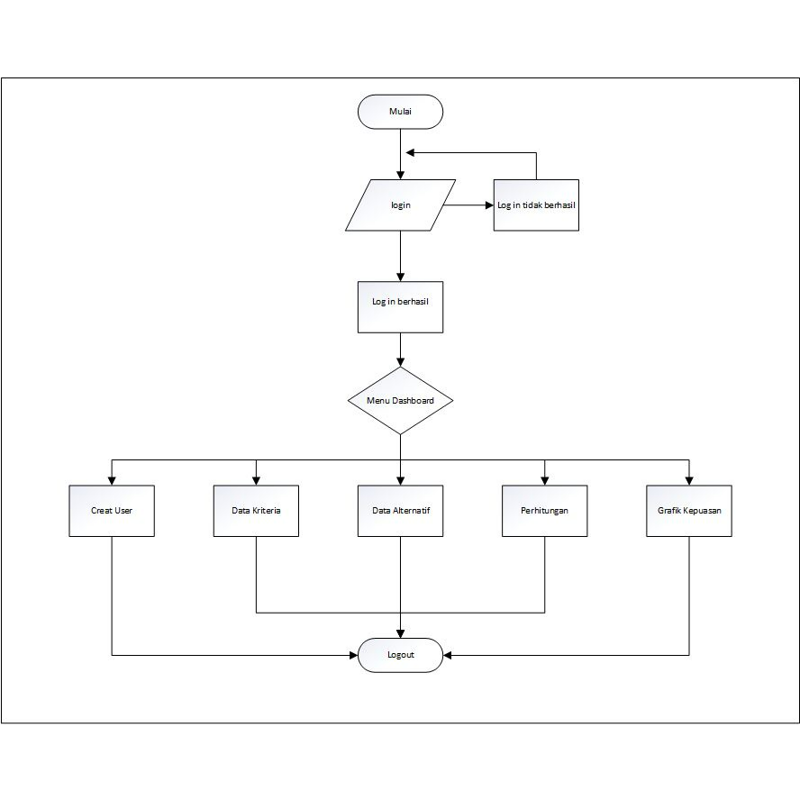
Butuh bantuan mengenai Flowchart yang saya buat
Saya kurang paham untuk perihal flowchart apakah teman teman bisa membantu saya
0
305
5
GuestAvatar border
Komentar yang asik ya
Urutan
Terbaru
Terlama
GuestAvatar border
Komentar yang asik ya
Komunitas Pilihan